Введение. Быстронарастающая третья волна новой коронавирусной инфекции в РФ связана с появлением и распространением нового более контагиозного штамма вируса SARS-CoV-2. Штамм дельта способствует быстрому прогрессированию болезни и поражению легких, причем в разных возрастных группах, включая молодых пациентов без груза сопутствующих заболеваний. Поэтому особенно важное значение приобретает критический анализ имеющихся данных об особенностях проявления болезни в различных подгруппах с целью найти дополнительные способы терапии. Конечно, принципиально важным и главным методом борьбы с пандемией есть и будет оставаться вакцинация, которая должна быть в центре внимания медиков и стать главной темой, пропагандируемой среди всех жителей и пациентов. Но, к сожалению, даже вакцинированные пациенты имеют угрозу инфицирования, в том числе и новыми вариантами вируса SARS-CoV-2, да и всеобщая вакцинация населения потребует определенного времени.
С самого начала развития пандемии COVID-19 практически во всем мире было обращено внимание на более частую заболеваемость и более тяжелое течении инфекции у мужчин [1, 2]. Теоретические предпосылки к этому были связаны с андрогенной функцией. Тестостерон (Т), превращающийся в дигидротестостерон (ДГТ) под влиянием фермента 5-альфа редуктазы, могут существенно увеличивать активность как собственно рецепторов АПФ-2, так и трансмембранной двойной сериновой протеазы (TMPRSS-2), необходимых для быстрого проникновения вируса в клетки [3]. Причем максимально быстрое прогрессирование новой коронавирусной инфекции отмечается у мужчин с высоким уровнем андрогенного статуса, определявшегося по клиническим признакам [4]. Избранные наблюдения, сделанные в Италии, свидетельствовали о возможном положительном влиянии андрогенной депривационной терапии (АДТ), снижавшей содержание ДГТ и его стимулирующего влияния на андрогенные рецепторы, и на шанс заболеть COVID-19 у пациентов с раком простаты [5]. Однако последующие ретроспективные исследования, проведенные онкологами в США на гораздо большем числе пациентов с аденомой простаты, не подтвердили способности АДТ предотвращать инфицирования вирусом SARS-CoV-2 [6, 7].
Исходя из ранних представлений, сделаны попытки использования разных типов антиандрогенного лечения при новой коронавирусной инфекции у мужчин. Небольшие исследования с целью блокады андрогенной функции у мужчин с COVID-19 применением прогестерона продемонстрировали явное клиническое улучшение [8]. Уникальные результаты получены и в бразильском РКИ (публикация препринта 22.06.2021), в котором блокатор андрогеновых рецепторов прокасалутамид к 28-му дню продемонстрировал на 128% лучшее восстановление и на 77% снизил смертность в сравнении с плацебо у мужчин с COVID-19 [9]. Однако уже 7 июля в журнале Science была опубликована критика этого исследования под заголовком «Слишком хорошо, чтобы быть правдой» [10]. В исследовании были подвергнуты сомнению результаты по смертности пациентов и, по мнению большинства экспертов, окончательных выводов сделать пока невозможно. В настоящее время проводятся контролируемые исследования со специфическим блокатором андрогенных рецепторов биклутамидом (NCT04374279), Шведский регистр с другим препаратом этой группы энзалутамидом, кроме того, с антагонистом гонадотропин-рилизинг гормона дегареликсом (NCT04397718). Заметных исследований с АДТ не зарегистрировано.
В нескольких исследованиях, в том числе и в клинике МГУ, в качестве неспецифического лечения c успехом (сокращение времени вирусемии, риска госпитализаций у амбулаторных пациентов и улучшение прогноза у госпитализированных больных с COVID-19) использованы антагонист минералокортикоидных рецепторов (АМКР) спиронолактон и его активный метаболит Канренон, обладающие дополнительными антиандрогенными свойствами [11–13]. Для окончательных выводов о возможной пользе этого класса лекарств в терапии COVID-19 нужно дождаться результатов рандомизированных исследований со спиронолактоном (NCT04345887).
Но ситуация осложняется возможным влиянием самой новой коронавирусной инфекции на андрогенную функцию у мужчин, при котором снижается уровень Т, и это может негативно влиять на прогноз новой коронавирусной инфекции [14, 15]. Имеются сведения о воспалительных и структурных изменениях в яичках и придатках, приводящих к снижению сперматогенеза у мужчин с COVID-19 [16]. Более того, чем тяжелее течение новой коронавирусной инфекции, выше показатели цитокинов (интерлейкина-6, ИЛ-6), тем ниже может оказаться уровень Т. Это было показано еще в «доковидную эру» при различных нозологиях [17,18]. Кроме того, высокий уровень Т и ДГТ связан с лучшей функцией мускулатуры, в том числе и дыхательной [19], и лучшими показателями функции легких у мужчин [20].
В небольшом исследовании, проведенном в Москве, показано снижение уровня тестостерона и, возможно, репродуктивной функции у мужчин с COVID-19 [21]. Опубликованы и оригинальные исследования [15], а также разборы о связи низкого тестостерона с клинически более тяжелым течением и негативным прогнозом у пациентов мужчин с новой коронавирусной инфекцией [22].
С целью попытаться разобраться в этих вопросах нами принято решение о проведении серии исследований в программе: ОСобенности течения НОвой коронавирусной инфекции и ВАрианты ТЕрапии боЛЬных в зависимости от андрогенного статуса (ОСНОВАТЕЛЬ). Целью настоящей статьи стал анализ андрогенного статуса у мужчин, госпитализированных со среднетяжелым течением COVID-19 и его связи с течением заболевания.
Материал и методы. В исследование были включены 152 больных мужчин с подтвержденным диагнозом COVID-19 по результатам положительного ПЦР теста на вирус SARS-CoV-2 и/или данным компьютерной томографии легких, госпитализированных в Университетскую клинику МГУ в связи со среднетяжелым и тяжелым течением новой коронавирусной инфекции. В табл. 1 представлены исходные данные пациентов (максимально тщательное и полное обследование выполнено 82 пациентам).
Методы исследования.Исследование уровня биохимических показателей крови (СРБ, креатинин, мочевина, глюкоза) выполнено на автоматическом биохимическом анализаторе AU480 Beckman Coulter, Германия; общий анализ крови (5 diff) на гематологическом анализаторе XN 2000 Sysmex Corporation, Япония; исследование уровня показателей гемостаза (фибриноген, Д-димер) на автоматическом анализаторе гемостаза STA-Compact Diagnostica Stago SAS, Франция; исследование уровня IL6 проводилось на иммунохимическом анализаторе Cobas 6000 Roche Diagnostics GmbH, Германия
КТ легких и органов грудной клетки выполнялась на 32-рядном компьютерном томографе Somatom Scope производства компании Siemens (ФРГ). Исследования выполнялись с толщиной среза 1 мм.
Методика исследования подробно описана в наших предыдущих статьях (ПУТНИК, БИСКВИТ, КОЛОРИТ) [13, 37, 41].
Для количественного анализа инфильтративных изменений легких при КОВИД-пневмониях применялась программа «Мультивокс» (разработчик – комания «Гаммамед», Москва) и «Botkin.AI (разработчик – комания «Интелоджик», Москва).
Для объективизации тяжести клинического состояния и адекватной оценки эффектов проводимой терапии использовали две шкалы. Во-первых, шкалу тяжести дистресс- синдрома NEWS-2 [23], модернизированную для пациентов с КОВИД-19 [24]. И кроме того, нашу оригинальную шкалу оценки клинического состояния больных коронавирусной инфекцией (ШОКС-КОВИД), опубликованную ранее [25].
В Университетской клинике МГУ всем пациентам проведено определение уровня общего Т с помощью автоматического анализатора Roche Cobas 6000 методом иммунохемилюминесценции с использованием тест-системы Elecsys Testosterone II. Тест основан на принципе конкуренции с использованием моноклональных антител с высокой связывающей способностью и специфично направленных против тестостерона. Эндогенный Т, выделенный из образца с помощью 2-бромоэстрадиола, конкурирует с добавленным дериватом Т, меченного рутениевым комплексом, за участки связывания на биотинилированном антителе.
Референсные значения, как и вся остальная информация по тест-системе Elecsys Testosterone II для определения уровня общего тестостерона (Т) в крови, получена из инструкции производителя, приложенной к тест-системе. Нижней границей нормы содержания Т в плазме крови мужчин, в соответствии с инструкцией к тест-системе, были 2,49 нг/мл у больных моложе 50 лет (диапазон – 2,49–8,36 нг/мл) и 1,93 нг/мл у лиц старше 50 лет (диапазон – 1,93–7,40 нг/мл).
Статистическая обработка результатов. Оценка нормальности распределения проводилась при помощи критерия Шапиро Уилка. Описание количественных данных представлено в виде медианы и интерквантильного размаха (Mедиана и 25%; 75%) в случае непараметрического распределения и в виде средней и стандартного отклонения в случае нормального распределения. Сравнение количественных признаков между группами проведено с использованием критерия Манна–Уитни при непараметрическом распределении и с помощью теста Стьюдента при нормальном распределении.
Качественные данные представлены в виде абсолютных и относительных величин. Значимость различий между группами по качественным признакам оценивалась на основании критерия ХИ-квадрат (χ2), а также двустороннего точного теста Фишера.
Для сравнения динамики параметров внутри каждой из групп использовался критерий Уилкоксона при непараметрическом распределении и с помощью теста Стьюдента для зависимых выборок при нормальном распределении и при помощи теста Макнемара для качественных показателей.
Для оценки корреляции использовался коэффициент корреляции Спирмана. Для многофакторного анализа использовалась линейный регресс.
Критический уровень значимости при проверке статистических гипотез принимался равным 0,05. Статистический анализ проведен в программе R студия с использованием языка программирования R.
Результаты исследования. Результаты исходного обследования мужчин с подтвержденным COVID-19 и поражением легких при поступлении в Университетскую клинику МГУ представлены в табл. 1.

Медиана возраста пациентов составила 58 лет при минимуме 23 лет и максимуме 88 лет, Медиана ИМТ составила 29,4 кг/м2 и ожирение выявлено у 43,8% обследованных, Сопутствовавшая сердечно-сосудистая комордбидность, включившая диагноз АГ и/или ИБС и/ил СД2, регистрировалась у 52,4% обследованных мужчин с COVID-19.
Тяжесть заболевания колебалась от средней до тяжелой. Почти 40% пациентов имели сатурацию кислорода менее 94%, что требовало кислородной поддержки 43,2% обследованных, при этом 12,7% лечились в ОРИТ и 4,9% требовали инвазивной ИВЛ. Медиана поражения легких по данным КТ (имеются данные по 77 пациентам) составила 19,7% и соответствовала 1-й степени у 58,4% больных, 2-й – у 26% и третей – у 15,6% (по классификации МЗ РФ). Выраженная аутоиммунная воспалительная реакция характеризовалась более чем 12-кратным увеличением уровня СРБ и значимым снижением соотношения лимфоциты/СРБ до 19,1 единицы, при референтном уровне более 100. Повышение уровня Д-димера было умеренным, но не исключало риска тромботический и тромбоэмболических осложнений. Средний уровень Т составил 2,14 нг/мл.
Суммарная оценка клинической тяжести по шкале NEWS-2 составила 4 балла с разбросом от 1 до 7, что соответствует среднему риску и у некоторых пациентов высокому риску, требующему лечения в ОРИТ. Суммарная оценка тяжести по оригинальной шкале ШОКС-КОВИД составила 7 баллов, что также соответствует средней тяжести течения коронавирусной пневмонии.
Лечение всем пациентам проведено по протоколам Университетской клиники МГУ и включило (необходимо принять во внимание ранний период пандемии [апрель–июнь 2020] и ограниченность наших знаний и представлений):
- почти у четверти пациентов еще использовался гидроксихлорохин, не рекомендуемый сегодня для лечения новой коронавирусной инфекции;
- все больные получали антибиотики, что отражало опасение присоединения бактериальной инфекции на ранних этапах изучения COVID-19. С сегодняшних позиций эту тактику можно считать избыточной (ошибочной);
- комбинацию бромгексина со спиронолактоном для улучшения клинического течения (одышки, кашля, чувства заложенности и болей в груди) и уменьшения вирусемии у 43,3% пациентов;
- применение глюкокортикостероидов (ГКС) у 23,5% пациентов;
- упреждающее противовоспалительное лечение у 51,8% (пульстерапия ГКС/колхицин / руксолитиниб / секукинумаб);
- низкомолекулярный гепарин у 94,3% (у 69,8% в профилактических дозах);
- НПВС для снижения температуры у 42,4% обследованных.
Среднее время пребывания в стационаре составило 11,5 дней. 2 пациента умерли (1,3%) и у 4 (2,6%) были зарегистрированы тромботические и тромбоэмболические осложнения.
Медиана Т у 152 обследованных больных составила 2,14 [1,21; 3,40] нг/мл, что соответствует нижней границе нормы.
На рис. 1, представлено разделение пациентов по медиане Т и показатели нормы раздельно для пациентов моложе (2,49 нг/мл) и старше (1,93 нг/мл). Как видно, при существенных различиях в уровне Т возраст пациент был практически одинаковым.

Подробное сравнение пациентов мужчин с COVID-19 и уровнем тестостерона выше и ниже медианы представлено в табл. 2.

Как видно, группы статистически значимо различались по большинству исходных показателей (выделены в таблице жирным шрифтом). У больных с уровнем Т ниже медианы уровень С-РБ был более чем в 2 раза выше и величина Д-димера почти в 2 раза выше, чем в группе сравнения. Иными словами, уровень воспалительного стресса, вероятность развития цитокинового шторма и риск тромбозов и эмболий были значимо повышены у больных с уровнем Т не выше (как предполагалось в начале развития пандемии COVID-19), а ниже медианы.
Длительность лечения в стационаре была статистически значимо более продолжительной у мужчин с новой коронавирусной инфекцией и исходно с уровнем Т ниже медианы – 13 дней против 10,5 дней в подгруппе уровнем Т выше медианы – 10,5 дней (р=0,003).
В ходе интенсивной терапии снижение уровня воспаления и СРБ было даже более значительным в более неблагоприятной подгруппе пациентов с исходно пониженным уровнем Т. Но, несмотря на это, к моменту выписки содержание СРБ в плазме крови нормализовалось (<5 мг/дл) лишь у пациентов с исходно нормальным уровнем Т и показатель соотношения лимфоцитов к СРБ оставалось в 2 раза выше в этой группе пациентов.
Учитывая возможные различия в андрогенной функции мужчин и уровне Т в зависимости от возраста, на рис. 2 представлены раздельные результаты для пациентов моложе и старше 50 лет по встречаемости нормального или сниженного содержания Т в плазме крови.

Как видно из рисунка, из 51 больного моложе 50 лет (33,6% обследованных) уровень Т выше нормы (3,84 нг/мл) зарегистрирован у 26 пациентов (51%), а ниже медианы (1,42 нг/мл) у 25 (49%). В более старшей возрастной группе из 101 пациента старше 50 лет (66,4% обследованных) нормальный уровень Т (2,83 нг/мл) определялся у 55 больных (54,5%), а пониженный (1,00 нг/мл) у 46 (45,5%). Всего в обследованной группе пациентов сниженный уровень Т определялся у 71 из 152 (46,7%) больных, что характеризует существенное снижение андрогенной функции значительного количества пациентов – мужчин с COVID-19.
Дополнительно мы провели раздельный анализ уровней Т в группах пациентов моложе и старше 50 лет с наличием ожирения и без такового и с наличием или отсутствием сопутствующих сердечно-сосудистых заболеваний (АГ, И[К]БС) и сахарного диабета 2 типа (СД2). Результаты представлены в табл. 3.

Как видно, даже при выделении подгрупп с возрастом ниже и выше 50 лет различия были на грани значимости. При этом корреляция между возрастом и уровнем Т отсутствовала (r=-0,12; р=0,29). Также не было выявлено значимых различий в уровнях Т у пациентов с наличием и отсутствием ожирения. Значимая корреляция между ИМТ и Т также отсутствовала (r=-0,18; p=0,11). Не было значимых различий в уровне Т и у пациентов с сопутствовавшими заболеваниями и без них. Таким образом, очевидным явился анализ возможных взаимосвязей тяжести проявлений СОVID-19 и андрогенной функции.
В табл. 4, проведено сравнение основных показателей у мужчин с COVID-19 с исходно нормальным (n=81) и сниженным уровнем Т (n=71).

Как видно, закономерности, полученные при сравнении подгрупп с уровнем Т ниже и выше медианы в целом подтвердились, Пациенты с исходно низким уровнем Т имели статистически значимо более высокий уровень воспаления (уровень СРБ и соотношение лимфоциты/СРБ). Показатели маркера риска тромбозов Д-димера значимо не различались, однако при нормальном Т его величина была в пределах нормы, а при низком Т повышена. Лечение в стационаре было значимо более длительным у больных с исходно низким уровнем Т. Мы провели анализ корреляции между длительностью лечения в стационаре и исходным уровнем Т у мужчин с новой коронавирусной инфекцией (рис. 3).
Как видно, имеет место статистически значимая, но слабая отрицательная зависимость между длительностью лечения и исходным уровнем Т у мужчин с новой коронавирусной инфекцией. При раздельном анализе у пациентов с исходно нормальным уровнем Т связь между андрогенной функцией и длительностью терапии отсутствует, а вот при исходно сниженном уровне Т в плазме крови чем он ниже, тем более длительно приходится лечить пациентов с COVID-19. То есть снижение уровня Т может быть либо маркером, либо фактором более тяжелого течения новой коронавирусной инфекции.
В подгруппе из 82 пациентов имеются дополнительные данные подробного инструментального обследования, включая сатурацию кислорода, данные ЧСС и АД плюс КТ грудной клетки, что позволило интегрально оценить тяжесть клинического проявления болезни (по шкале NEWS-2) и общей тяжести течения COVID-19 по шкале ШОКС-КОВИД в модификации В.Ю. Мареева, предложенной в Университетской клинике МГУ.
В табл. 5 представлено сравнение групп больных с исходным уровнем Т выше (n=41) и ниже (n=41) медианы, но это практически соответствует разделению по нормальному (n=40) или сниженному (n=42) уровню Т.

Как видно, у пациентов со сниженным уровнем Т имело место более тяжелое течение коронавирусной пневмонии. В этой группе регистрировалась более низкая сатурация кислорода, большая одышка, чаще использовалась кислородная поддержка по сравнению с подгруппой с уровнем Т выше медианы. Этому соответствовала и большая площадь поражения легких по данным КТ и одновременно значимо большие маркеры воспаления (СРБ) тромботических и тромбоэмболических изменений (Д-димер) у пациентов с исходным уровнем Т ниже медианы.
Суммарная оценка тяжести по оригинальной шкале ШОКС-КОВИД составляла 9 баллов у пациентов с уровнем Т ниже медианы и 5 баллов у мужчин с сохраненным уровнем Т, тол есть выше медианы (р<0,001).
Терапия больных с уровнем Т ниже медианы была значимо более активной, что включало более частое применении ГКС (р=0,01), в том числе пульстерапии, только в этой подгруппе пришлось увеличивать дозы антикоагулянтов с профилактических до лечебных (р=0,049), чаще использовались НПВС (р=0,031) и при этом длительность лечения в стационаре была большей (р=0,061).
В каждой из обследованной групп по одному пациенту умерли, несмотря на проводимую терапию. Тромботические и тромбоэмболические осложнения имели место у одного пациента с COVID-19 и исходно нормальным уровнем Т а и у трех с низким содержанием Т в плазме крови.
Результаты анализа корреляции между исходным уровнем Т и суммарной тяжестью течения новой коронавирусной инфекции, опреденной количеством баллов по школе ШОКС-КОВИД, представлены на рис. 4.

Как видно, существует статистически значимая слабая отрицательная корреляция между интегральной тяжестью коронавирусной пневмонии и уровнем Т, т.е. чем ниже уровень Т, тем больше баллов по шкале ШОКС-КОВИД. Но эта зависимость отсутствует при исходно нормальном уровне Т и становится высокозначимой (r=0,49; p=0,001) у больных с исходно сниженным уровнем андрогенной активности и содержания Т в плазме крови.
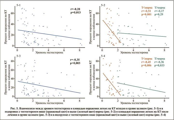
На рис. 5 представлены регрессионно-корреляционные связи между уровнем Т при поступлении с площадью поражения легких на КТ при поступлении в клинику (рис. 5-1 и 5-2) и после лечения в стационаре перед выпиской (рис. 5-3 и 5-4), так как именно площадь поражения легочной ткани при новой коронавирусной инфекции может определять прогноз у мужчин с COVID-19.

Как видно, сохранились похожие закономерности. Имела место значимая, хотя и слабая, отрицательная связь между уровнем Т и исходной площадью поражения легких у мужчин с COVID-19 (рис. 5-1), причем при раздельном анализе статистическая значимость имела место лишь в подгруппе с исходным уровнем тестостерона ниже нормы, и эта связь становилась средней (рис. 5-2). Однако в отличии от баллов по ШОКС-КОВИД, сохранялась корреляция и между исходным уровнем тестостерона и площадью поражения легких на КТ после лечения в стационаре к моменту при выписке (рис. 5-3 и 5-4). Более тесная связь имела место у пациентов с исходным уровнем тестостерона ниже нормы. То есть низкий уровень Т был значимо связан с поражением легких у обследованных мужчин с коронавирусной пневмонией и чем ниже этот уровень, тем больше площадь поражения и тяжесть течения пневмонии.
Для прояснения роли уровня Т в определении тяжести течения COVID-19 у мужчин и длительности лечения в стационаре были построены многофакторные модели.
По результатам обследования всех 152 пациентов была построена модель, в которую были включены клинические и биохимические параметры, способные влиять на длительность госпитализации плюс натуральный логарифм уровня Т.

Более высокие значения натуральных логарифмов Т и лимфоцитов ассоциированы с меньшими сроками госпитализации, а больший возраст с большей длительностью госпитализации. Добавление в модель СРБ и Лимфоциты/СРБ, Д димера не привели к увеличению коэффициент детерминации R2 и в финальную модель не вносились. Модель объясняет лишь 22,5% изменчивости в днях госпитализации. Иными словами, чем старше мужчины, больше лимфопения и ниже уровень Т, тем тяжелее течение COVID-19.
На данных 82 пациентов, по которым были все данные обследования, включая клиническое течение, и рассчитана площадь поражения легких по КТ, была построена модель, включившая факторы, при однофакторном анализе значимо влиявшие на длительность госпитализации мужчин с коронавирусной пневмонией: интегральный показатели течения (баллы по ШОКС-КОВИД), натуральный логарифм уровня Т, возраст и ЧСС.

Модель объясняет 45,4% изменчивости в длительности госпитализации. Чем выше ШОКС и возраст, тем больше длительность госпитализации. Т не является статистически значимым фактором. Более того, исключение его из модели приводит к увеличению R2 до 0,46. Замена интегрального показателя тяжести ШОКС-КОВИД на отдельные показатели тяжести течения болезни в виде сатурации кислорода и площади поражения легких по данным КТ и уровня снижало ценность модели (R2=0,331) и ни в одном из вариантов Т не сохранял значимого влияния на длительность лечения пациентов с COVID-19 в стационаре.
Добавление в модель числа лимфоцитов, логарифма числа лимфоцитов и соотношения лимфоциты/СРБ снижают предсказательную ценность модели из-за чего в финальную модель их не включали. Также снижало предсказательную ценность включение сопутствующих заболеваний.
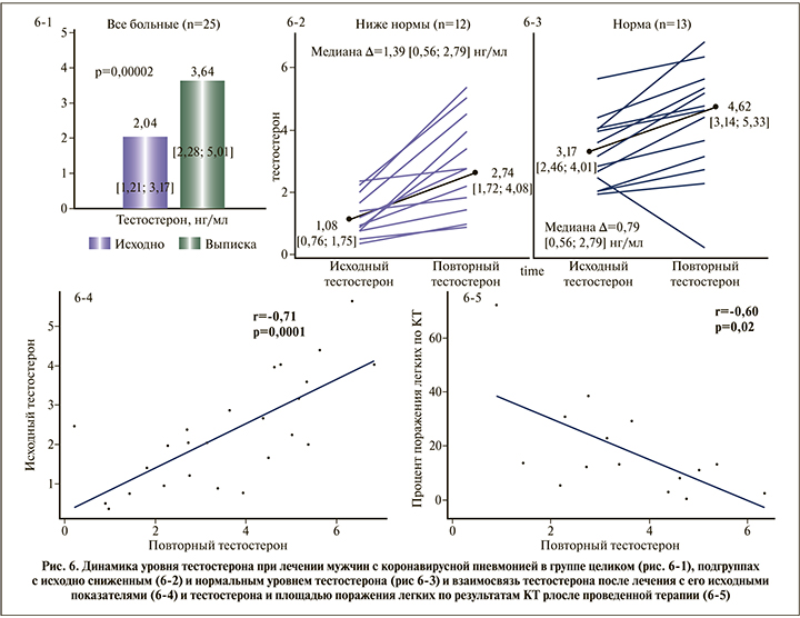
Учтя высокую частоту встречаемости низкого уровня Т у мужчин с COVID-19 (46,7%), мы попытались проанализировать динамику этого показателя после неспецифического лечения новой коронавирусной инфекции у 25 обследованных нами повторно пациентов (рис. 6).

Как следует из рис. 6-1, уровень Т после успешного лечения коронавирусной пневмонии статистически значимо увеличивался – почти на 80%, причем степень повышения была гораздо большей в подгруппе с исходно сниженным уровнем Т (n=12, рис. 6-2), чем при его исходно нормальных значениях (n=13, рис. 6-3). Далее мы предприняли анализ корреляции между исходным уровнем Т и достигнутыми показателями после лечения новой коронавирусной инфекции. Как видно из рис. 6–4, имела место тесная значимая прямая связь между этими показателями (r=0,71, р=0,0001). То есть после улучшения состояния мужчин с COVID-19 отмечается линейное повышение уровня Т, не зависящее от его исходного уровня. Несмотря на то что в многофакторной модели, уровень Т терял значимую связь с длительностью лечения пациентов с коронаровирусной пневмонией, проведенный нами анализ выявил значимую отрицательную корреляцию не только исходного, но и достигнутого в процессе лечения уровня Т и площади поражения легких по данным КТ после успешного лечения в стационаре (рис. 6-5). Чем ниже остается уровень Т, тем больше площадь поражения легких даже после успешного лечения COVID-19. Поэтому полученные результаты можно трактовать так, что уровень Т является маркером тяжести новой коронавирусной инфекции. Нельзя исключить, что при его исходном снижении Т является одним из факторов прогрессирования болезни.
Обсуждение. С самого начала развития пандемии новой коронавирусной инфекции было обращено серьезное внимание на гендерные различия [26]. Мужчины легче и чаще заболевали [27,28] и имели более тяжелое течение инфекции с развитием вирусных пневмоний, требовавших более частой госпитализации в отделения реанимации и проведения инвазивной вентиляции легких (ИВЛ) [29]. Это могло быть связано с большей встречаемостью факторов риска и сопутствовавших, в том числе сердечно-сосудистых заболеваний [30]. Однако параллельно начала обсуждаться возможная связь андрогенной функции и развития COVID-19. Ранее мы подробно обсуждали возможную связь избыточной активации андрогенных рецепторов и одновременной активизацией АПФ-2 рецепторов и трансмембранной сериновой протеазы (TMPRSS2), являющихся входными воротами вируса SARS-CoV-2 в клетки [13, 31]. Некоторые исследования продемонстрировали более тяжелое течение болезни у пациентов мужчин с клиническими признаками высокой андрогенной функции [32]. Кроме того, в ряде ретроспективных ограниченных по объему исследований мужчины с аденомой простаты, получавшие андрогендепривационную терапию (АДП), реже заболевали и легче переносили новую коронавирусную инфекцию [5].
В момент планирования исследования ОСНОВАТЕЛЬ все наши (и большинства исследователей) представления на ранней стадии изучения новой коронавирусной инфекции находились в парадигме: высокий уровень андрогенов (и главного гормона тестостерона) связан с тяжестью COVID-19 и спиронолактон может замедлять и облегчать течение болезни.
Однако позже стали появляться прямо противоположные данные – о связи низкого уровня тестостерона у мужчин с тяжестью течения новой коронавирусной инфекцией [33, 34]. Были предположены и многие механизмы, способные объяснить худшее течение болезни при реально низком уровне тестостерона [35, 36].
Проведенное нами исследование убедительно подтвердило идею о связи низкого (а не высокого) уровня Т у мужчин с более тяжелым течением новой коронавирусной инфекции.
Неожиданной оказалась частота выявления сниженного уровня Т у мужчин с COVID-19. Почти половина (46,7%) пациентов имели сниженный уровень этого гормона, причем как у молодых (49% при возрасте менее 50 лет), так и более возрастных (45,5% при возрасте более 50 лет). Связь уровня Т с возрастом, наличием ожирения, индексом массы тела и сопутствующими заболеваниями выявлена не была, так что это снижение было связано с самой новой коронавирусной инфекцией. У мужчин с COVID-19 и низким уровнем Т имело место значимо более тяжелое течение заболевания, что включало выраженную дыхательную недостаточность (значимое большее снижение сатурации крови кислородом), рост потребности в кислородотерапии, повышенный уровень воспаления (СРБ) и маркеров тромбозов и тромбоэмболий (Д-димера). Это приводило к более длительному и интенсивному лечению таких пациентов в стационаре (медиана пребывания в стационаре 13 дней против 10,5, р=0,003) по сравнению с больными с нормальным исходным уровнем Т.
Была выявлена значимая отрицательная корреляция между исходным уровнем Т и суммарной тяжестью болезни по шкале ШОКС–КОВИД, включившей клинические проявления, уровни маркеров воспаления и тромбоза и степень поражения легких по КТ (r=-0,38, р=0,0007). Аналогично имела место значимая отрицательная корреляция слабой степени между уровнем Т и площадью поражения легких по результатам КТ (r=-0,28, р=0,013). Очень интересно и важно, что эти связи отсутствовали у пациентов с исходно нормальным уровнем Т. Наоборот, у больных с COVID-19 и исходным Т ниже нормы корреляция становилась более тесной как с баллами по шкале ШОКС–КОВИД (r=0,49, р=0,001), отражающими общую тяжесть течения заболевания и риск осложнений, так и с площадью поражения легких по КТ (r=-0,51, р=0,001). То есть чем ниже уровень общего Т, тем больше поражение легких и тяжесть течения новой коронавирусной инфекции, особенно (если не исключительно) среди пациентов с исходно уже сниженной андрогенной функцией.
Дальнейший анализ выявил значимую отрицательную корреляцию исходного уровня Т и площади поражения легких по данным КТ и к моменту выписки из стационара. Эта связь была более тесной у лиц с исходно низким уровнем Т (r=-0,45; p=0,006), но оставалась значимой и у больных с исходно нормальным уровнем Т (r=-0,36; p=-0,033) и по группе в целом (r=-0,35; p=0,003). Таким образом, чем ниже уровень Т у мужчин с COVID-19, тем больше площадь поражения легких даже после успешно проведенного лечения.
Многофакторный анализ показал, что низкий уровень Т (его натуральный логарифм) сохранял значимое влияние на длительность лечения мужчин с новой коронавирусной инфекцией в стационаре (р=0,0002) наряду с лимфопенией и возрастом пациентов. Однако главную роль в длительности нахождения больных в стационаре, что вполне объяснимо, играла интегральная тяжесть заболевания, определявшаяся по баллам ШОКС–КОВИД. Регресс с включением как ШОКС–КОВИД (включившего КТ и другие критерии тяжести) так и Т показывает, что длительность госпитализации определяется тяжестью заболевания, а не исходным уровнем Т. Но регресс не может различить две ситуации (то есть картинка будет одинаковой):
А. Тяжелая новая коронавирусная инфекция сопровождается как значимым снижением уровня Т, так и более продолжительными сроками госпитализации (Т является одним из маркеров тяжести болезни)
Б. Низкий уровень Т за счет каких-то дополнительных механизмов способствует тяжелому течению COVID-19, а уже тяжелая коронавирусная инфекция требует более длительного лечения в стационаре (Т является фактором риска более тяжелого течения болезни).
Косвенно наличие тесной корреляции между уровнем Т и течением COVID-19 подтвердила динамика этого гормона при лечении в стационаре, которую мы проследили у 25 пациентов. Как видно из рис. 6, уровень Т в результате успешного лечения новой коронавирусной инфекции (без специфического воздействия) значимо повысился – почти на 80%, причем в абсолютных величинах одинаково у пациентов с исходно низким (Δ=1,66 нг/мл) и нормальным (Δ=1,45 нг/мл) уровнями Т. Реальное снижение имело место лишь у 1 больного из 25 (с его исходно нормальной концентрацией в плазме крови). Уровень исходного и повторного Т имел тесную прямую связь (r=0,71; p=0,001), что не удивительно при отсутствии специфической терапии. И чем более низким сохранялся уровень Т к моменту выписки, тем больше была площадь поражения легких при КТ (r=-0,6; p=0,02).
Учтя диаметрально противоположные теории о связи уровня Т с тяжестью течения новой коронавирусной инфекцией и базируясь на полученных нами результатах, мы предположили возможные варианты развития событий, что представлено на схеме на рис. 7.

Как видно из рисунка и наших предыдущих публикаций [37], очень важное значение имеет выделение разных периодов новой коронавирусной инфекции, так как это определяет дифференцированные подходы к лечению пациентов. В этом случае мы можем говорить об этапности течения и лечения COVID-19. В начале заболевания (стадия вирусемии) главной задачей является борьба с попаданием вируса SARS-CoV-2 в клетки и его репликации для предотвращения прогрессирования болезни. Как видно из схемы (рис. 7, период 1), в этом случае мужской пол и особенно повышенный андрогенный статус могут быть негативным фактором, способным привести к большей заболеваемости и тяжелому течению болезни [5, 32]. При этом Т и образующийся при действии 5 – альфа редуктазы ДГТ, через активацию андрогенных рецепторов активируют рецепторы АПФ-2 и двойную трасмембранную сериновую протеазу (TMPRSS-2), являющихся «входными воротами» новой коронавирусной инфекции [32]. Поэтому мужчины, в частности, в гиперандрогенном статусе чаще и более тяжело болеют COVID-19. На раннем этапе болезни выбор АМКР спиронолактона с его многочисленными, но умеренными антиандрогенными свойствами выглядит оправданным. Это подтвердилось в исследованиях, продемонстрировавших как снижение риска быть госпитализированным [12], так и риск более короткого течения вирусемии и лечения в стационаре [13]. Более того при применении канренона (активного метаболита спиронолатона) отмечено снижения риска суммы смертей и осложнений течения COVID-19 [11], а в недавнем исследовании с самим спиронолактоном подтверждено снижение смертности [12]. Интересно, что успех лечения спиронолактоном достигался при достаточно коротком курсе (10–14 дней) и побочные эффекты терапии в виде гинекомастии и снижении сперматогенеза, связанные с компенсаторным возрастанием синтеза и эффектов эстрогенов, не успевали развиваться, так как эти проявления характерны для длительной терапии. Применение на этой стадии развития болезни более мощной специфической терапии, например, прогестерона [8], АДТ [38] или блокаторов андрогенных рецепторов [12], поставит вопросы о соотношении положительных и побочных реакций и в настоящее время проходит проверку в контролируемых исследованиях.
В дальнейшем при прогрессировании заболевания и развитии вирусной пневмонии, наступает следующий этап течения болезни, требующий упреждающей противоспалительной терапии, прежде всего глюкокотикостероидами [39–41] и профилактики тромботических осложнений антикоагулянтами [42]. С позиций оценки андрогенного статуса может иметь место следующий сценарий. Как видно (рис. 7, период 2), при обычном развитии событий и преимущественном поражении легких уровень тестостерона сохраняется нормальным и, как легко понять гораздо более высоким у мужчин, чем у женщин. В этом случаем можно предположить, что негативные свойства, связанные с Т и ДГТ в виде эскалации вирусемии, отходят на второй план и уравновешиваются важными защитными свойствами мужских половых гормонов. Снижается уровень цитокинов и опасность цитокинового шторма [43], уменьшаются шансы на прогрессирования острого респираторного дистресс-синдрома (ОРДС) [44] без риска развития тромботических осложнений [45]. Мы не выявили связи уровня Т с тяжестью течения COVID-19 и степенью поражения легких в группе мужчин с исходно сохраненной андрогенной функцией. В данном случае общепринятое лечение новой коронавирусной инфекции видится вполне достаточным, тем более что после лечения в стационаре уровень Т значимо увеличивался на 46%, сохраниашись в рамках нормальных величин. Однако для более точного ответа на этот вопрос необходимо исследование не только уровня Т, но и ДГТ, а лучше еще и активности андрогенных рецепторов. Видимо, при нормальном уровне Т и одновременном увеличении ДГТ можно предполагать пользу от АДТ или блокаторов андрогенных рецепторов, что исследуется в настоящее время в нескольких РКИ (NCT04446429, NCT04374279, NCT04475601). При высоком уровне Т у мужчин с COVID-19, вирусной пневмонией и выраженной гипоксией предполагается возможная польза от применения прогестерона. Первые данные выглядят оптимистично [8], но требуют проверки в новых больших по объему тщательно спланированных РКИ.
Наконец наибольший интерес представляет группа мужчин с COVID-19 продвинутой стадии болезни и исходно низким уровнем Т (рис. 7, период 3). Возможность непосредственного влияния вируса SARS-CoV-2 на уровень мужских половых гормонов и репродуктивную функцию обсуждается с прошлого года [46]. Проникновение вируса в яички и придатки может блокировать синтетическую способность Лейдиговых клеток к выработке Т, снижению стимуляции клеток Сертоли и выработке нормально функционирующих сперматозоидов [47]. Описаны структурные изменения яичек и придатков в виде застоя, интерстициального отека, экссудации эритроцитов и апоптоза функционально активных клеток [48]. Наличие вирусов SARS-CoV-2 было обнаружено в сперме у каждого из 6 обследованных мужчин с новой коронавирусной инфекцией [49]. Кроме непосредственного влияния вируса воспаление, цитокиновое влияние, физический и психологический стресс, общая астения также могут быть важными дополнительными факторами снижения сексуальной и репродуктивной функции у мужчин [50, 51]. Нельзя полностью сбрасывать со счетов и негативные свойства противовирусных препаратов, в том числе фавипиравира.
В небольшом российском исследовании у 50 мужчин с COVID-19, сниженный уровень Т был обнаружен в 38% случаев [21]. При изучении спермограммы выявлены изменения морфологии сперматозоидов, повышение количества лейкоцитов в эякуляте и снижение уровня тестостерона у пациентов, перенесших новую коронавирусную инфекцию. В нашем исследовании на 152 пациентах мужчинах, госпитализированных с новой коронавирусной инфекцией, сниженный уровень Т обнаружен у 46,7% независимо от возраста и сопутствовавших заболеваний. Выявлена значимая отрицательная связь между Т с одной стороны и общей тяжестью течения болезни и площадью поражения легких. Чем ниже был уровень Т, тем более тяжело протекала инфекция и требовала более длительного нахождения пациентов в стационаре.
Таким образом, как мы указали ранее, низкий уровень Т можно рассматривать один из маркеров тяжести течения новой коронавирусной инфекции (при любом его исходном уровне), одновременно может быть фактором прогрессирования и тяжелого течения болезни у мужчин, особенно при исходно сниженном Т как последствия имевшегося COVID-19. Эти вопросы сегодня активно обсуждаются в стиле «Тестостерон при COVID-19: Враг, друг или жертва» [52].
При активном и успешном лечении в стационаре уровень Т, при его исходно сниженном значении значимо возрастал в среднем в 2,5 раза, причем у всех обследованных нами пациентов. Несмотря на это, чем ниже оставался уровень Т после лечения, тем большим оставалось поражение легких. Вопрос о том, нужна ли в этом случае дополнительная стимуляция андрогенной функции, остается открытым. Нельзя забывать и о некоторых осложнениях терапии тестостероном, например о повышенном риске тромбозов [53]. Это может утяжелять течение новой коронавирусной инфекции, несмотря на широкое применение антикоагулянтов у этой категории больных.
Заключение
1. Среди мужчин с новой коронавирусной инфекцией среднего и тяжелого течения сниженный уровень тестостерона выявляется в 46,7%.
2. Пациенты с низким уровнем тестостерона при поступлении имеют более тяжелое течение Covid-19.
3. При успешном лечении новой коронавирусной инфекции наблюдается значимое повышение уровня тестостерона, без специального воздействия.
4. Отсутствие повышения тестостерона в процессе лечения ассоциировано с сохранением большего объема поражения легких.



